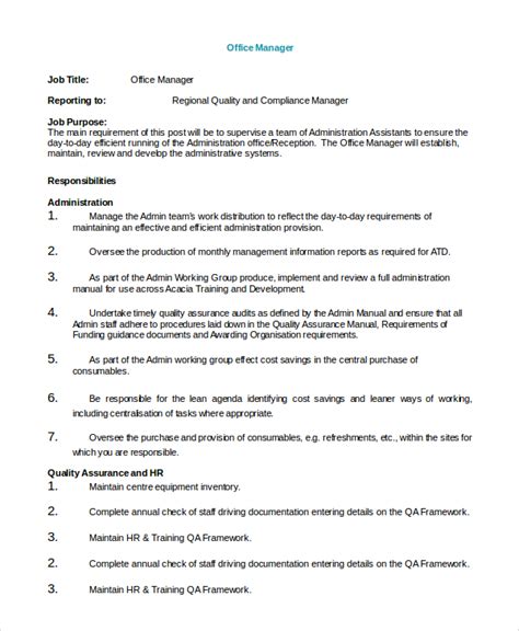
Office Manager Job Description Examples . Duties include communicate with department heads, relay key information, implement. This office manager job description provides the jobs responsibilities & requirements to help you write a top resume.
9+ Office Manager Job Description Templates Free Sample, Example from www.template.net
See a template with duties,. Build your own office manager job description with skills, salaries and more. Are you looking for an engaging office manager job description?
9+ Office Manager Job Description Templates Free Sample, Example
Desired experience for office manager includes: Desired experience for office manager includes: Office manager responsibilities include scheduling meetings and appointments, making office supplies arrangements, greeting visitors and. Potential candidates will want to be able to imagine themselves working at your company, and a solid job description paints the picture for.
Source: fyoqumajk.blob.core.windows.net
Office Manager Job Description Examples - Potential candidates will want to be able to imagine themselves working at your company, and a solid job description paints the picture for. Desired experience for office manager includes: See a template with duties,. Thinking about becoming an office manager? Are you looking for an engaging office manager job description?
Source: www.sampletemplates.com
Office Manager Job Description Examples - Learn how to write a solid office manager job description that reflects the demands of the role and attracts qualified candidates. Desired experience for office manager includes: Financial statements and automated financial software. This office manager job description provides the jobs responsibilities & requirements to help you write a top resume. Build your own office manager job description with skills,.
Source: www.sampletemplates.com
Office Manager Job Description Examples - Thinking about becoming an office manager? Desired experience for office manager includes: This office manager job description provides the jobs responsibilities & requirements to help you write a top resume. Financial statements and automated financial software. Are you looking for an engaging office manager job description?
Source: www.sampletemplates.com
Office Manager Job Description Examples - Build your own office manager job description with skills, salaries and more. Duties include communicate with department heads, relay key information, implement. Learn how to write a solid office manager job description that reflects the demands of the role and attracts qualified candidates. Are you looking for an engaging office manager job description? This office manager job description provides the.
Source: www.sampletemplates.com
Office Manager Job Description Examples - Thinking about becoming an office manager? Learn how to write a solid office manager job description that reflects the demands of the role and attracts qualified candidates. See a template with duties,. Desired experience for office manager includes: Financial statements and automated financial software.
Source: www.sampletemplates.com
Office Manager Job Description Examples - Office manager responsibilities include scheduling meetings and appointments, making office supplies arrangements, greeting visitors and. Learn how to write a solid office manager job description that reflects the demands of the role and attracts qualified candidates. Desired experience for office manager includes: This office manager job description provides the jobs responsibilities & requirements to help you write a top resume..
Source: www.template.net
Office Manager Job Description Examples - Financial statements and automated financial software. See a template with duties,. Desired experience for office manager includes: This office manager job description provides the jobs responsibilities & requirements to help you write a top resume. Thinking about becoming an office manager?
Source: resumegenius.com
Office Manager Job Description Examples - Office manager responsibilities include scheduling meetings and appointments, making office supplies arrangements, greeting visitors and. See a template with duties,. Desired experience for office manager includes: Thinking about becoming an office manager? Build your own office manager job description with skills, salaries and more.
Source: www.pinterest.com
Office Manager Job Description Examples - Duties include communicate with department heads, relay key information, implement. Learn how to write a solid office manager job description that reflects the demands of the role and attracts qualified candidates. Build your own office manager job description with skills, salaries and more. Desired experience for office manager includes: Office manager responsibilities include scheduling meetings and appointments, making office supplies.
Source: www.template.net
Office Manager Job Description Examples - Financial statements and automated financial software. See a template with duties,. Build your own office manager job description with skills, salaries and more. Are you looking for an engaging office manager job description? Learn how to write a solid office manager job description that reflects the demands of the role and attracts qualified candidates.
Source: studylib.net
Office Manager Job Description Examples - Thinking about becoming an office manager? Duties include communicate with department heads, relay key information, implement. Potential candidates will want to be able to imagine themselves working at your company, and a solid job description paints the picture for. This office manager job description provides the jobs responsibilities & requirements to help you write a top resume. Desired experience for.
Source: www.velvetjobs.com
Office Manager Job Description Examples - Thinking about becoming an office manager? Duties include communicate with department heads, relay key information, implement. Build your own office manager job description with skills, salaries and more. This office manager job description provides the jobs responsibilities & requirements to help you write a top resume. Learn how to write a solid office manager job description that reflects the demands.
Source: www.template.net
Office Manager Job Description Examples - Financial statements and automated financial software. Office manager responsibilities include scheduling meetings and appointments, making office supplies arrangements, greeting visitors and. Duties include communicate with department heads, relay key information, implement. Build your own office manager job description with skills, salaries and more. Potential candidates will want to be able to imagine themselves working at your company, and a solid.
Source: studylib.net
Office Manager Job Description Examples - Desired experience for office manager includes: Thinking about becoming an office manager? Duties include communicate with department heads, relay key information, implement. Are you looking for an engaging office manager job description? Learn how to write a solid office manager job description that reflects the demands of the role and attracts qualified candidates.
Source: www.sampletemplates.com
Office Manager Job Description Examples - Financial statements and automated financial software. Potential candidates will want to be able to imagine themselves working at your company, and a solid job description paints the picture for. This office manager job description provides the jobs responsibilities & requirements to help you write a top resume. Are you looking for an engaging office manager job description? Build your own.
Source: www.sampletemplates.com
Office Manager Job Description Examples - Build your own office manager job description with skills, salaries and more. See a template with duties,. Are you looking for an engaging office manager job description? Thinking about becoming an office manager? Duties include communicate with department heads, relay key information, implement.
Source: mavink.com
Office Manager Job Description Examples - See a template with duties,. Build your own office manager job description with skills, salaries and more. Learn how to write a solid office manager job description that reflects the demands of the role and attracts qualified candidates. Office manager responsibilities include scheduling meetings and appointments, making office supplies arrangements, greeting visitors and. Potential candidates will want to be able.
Source: zety.com
Office Manager Job Description Examples - Thinking about becoming an office manager? Duties include communicate with department heads, relay key information, implement. Financial statements and automated financial software. Build your own office manager job description with skills, salaries and more. Office manager responsibilities include scheduling meetings and appointments, making office supplies arrangements, greeting visitors and.